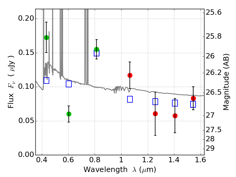
PLCKG138-10 ACS+IR detection object #1996

Color images and BPZ results
Catalog: 1996.cat
Black segments are analyzed here.   Roll mouse over color images to view segments.
Best viewed in a wide browser window (1200 pixels or more).   Download SED & P(z) plots to view larger versions.
In P(z) plots: Yellow lines mark the cluster redshift z = 0.702,  

Object #1996   x,y = (2958, 3164)   RA, Dec = (02:27:03.408, 49:01:09.12) = (36.76420, 49.01920)   BPZ = 0.106 [0.087--0.963]   type = 11.00 (SB11_A_0_l)   chisq2 = 2.71   ODDS = 0.50   z_cluster = 0.702