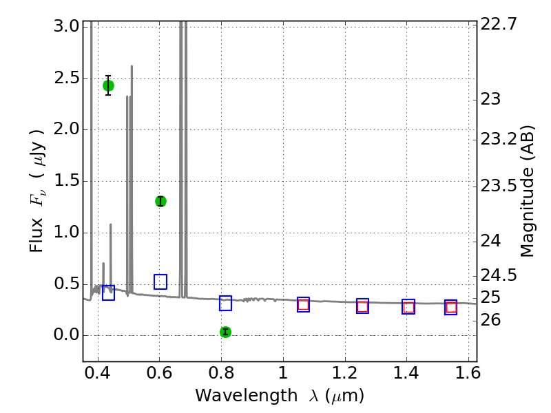
PLCKG138-10 ACS+IR detection object #1897

Color images and BPZ results
Catalog: 1897.cat
Black segments are analyzed here.   Roll mouse over color images to view segments.
Best viewed in a wide browser window (1200 pixels or more).   Download SED & P(z) plots to view larger versions.
In P(z) plots: Yellow lines mark the cluster redshift z = 0.702,  

Object #1897   x,y = (4155, 3205)   RA, Dec = (02:26:56.112, 49:01:11.64) = (36.73380, 49.01990)   BPZ = 0.016 [0.010--0.032]   type = 11.00 (SB11_A_0_l)   chisq2 = 694.20   ODDS = 1.00   z_cluster = 0.702