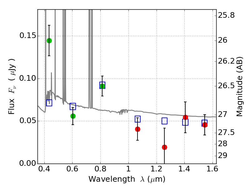
PLCKG138-10 ACS+IR detection object #1882

Color images and BPZ results
Catalog: 1882.cat
Black segments are analyzed here.   Roll mouse over color images to view segments.
Best viewed in a wide browser window (1200 pixels or more).   Download SED & P(z) plots to view larger versions.
In P(z) plots: Yellow lines mark the cluster redshift z = 0.702,  

Object #1882   x,y = (2353, 3212)   RA, Dec = (02:27:07.104, 49:01:12.36) = (36.77960, 49.02010)   BPZ = 0.098 [0.079--0.966]   type = 11.00 (SB11_A_0_l)   chisq2 = 2.63   ODDS = 0.52   z_cluster = 0.702