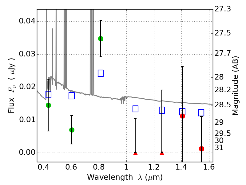
PLCKG138-10 ACS+IR detection object #1852

Color images and BPZ results
Catalog: 1852.cat
Black segments are analyzed here.   Roll mouse over color images to view segments.
Best viewed in a wide browser window (1200 pixels or more).   Download SED & P(z) plots to view larger versions.
In P(z) plots: Yellow lines mark the cluster redshift z = 0.702,  

Object #1852   x,y = (3244, 3225)   RA, Dec = (02:27:01.656, 49:01:13.08) = (36.75690, 49.02030)   BPZ = 0.134 [0.093--4.825]   type = 11.00 (SB11_A_0_l)   chisq2 = 2.52   ODDS = 0.43   z_cluster = 0.702