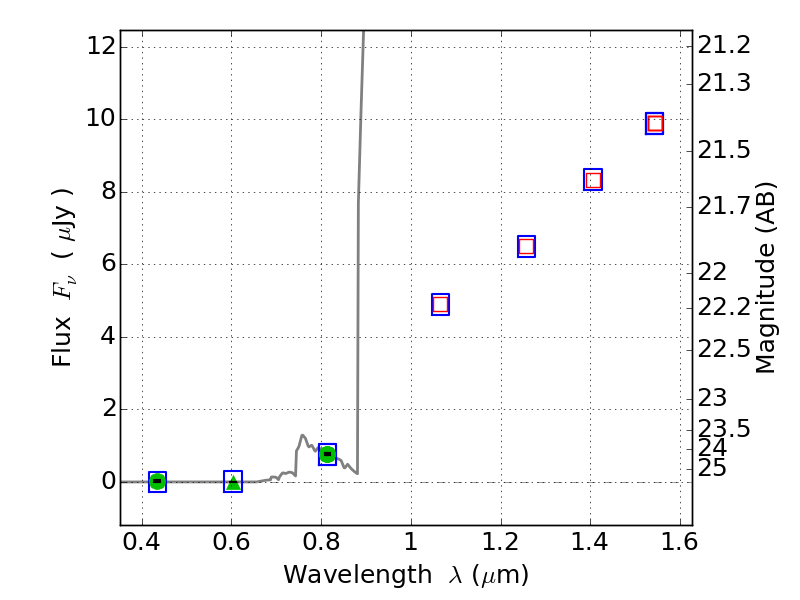
PLCKG138-10 ACS+IR detection object #1810
Color images and BPZ results
Catalog: 1810.cat
Black segments are analyzed here. Roll mouse over color images to view segments.
Best viewed in a wide browser window (1200 pixels or more). Download SED & P(z) plots to view larger versions.
In P(z) plots: Yellow lines mark the cluster redshift z = 0.702,
Object #1810 x,y = (4114, 3246) RA, Dec = (02:26:56.352, 49:01:14.16) = (36.73480, 49.02060) BPZ = 6.255 [5.866--8.869] type = 6.00 (Sbc_B10) chisq2 = 0.00 ODDS = 0.39 z_cluster = 0.702