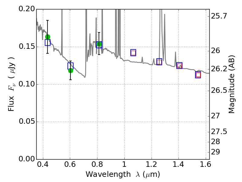
PLCKG138-10 ACS+IR detection object #1560

Color images and BPZ results
Catalog: 1560.cat
Black segments are analyzed here.   Roll mouse over color images to view segments.
Best viewed in a wide browser window (1200 pixels or more).   Download SED & P(z) plots to view larger versions.
In P(z) plots: Yellow lines mark the cluster redshift z = 0.702,  

Object #1560   x,y = (971, 3374)   RA, Dec = (02:27:15.528, 49:01:22.08) = (36.81470, 49.02280)   BPZ = 0.930 [0.443--2.250]   type = 10.80 (SB11_A_0_l - SB3_B10)   chisq2 = 0.24   ODDS = 0.24   z_cluster = 0.702