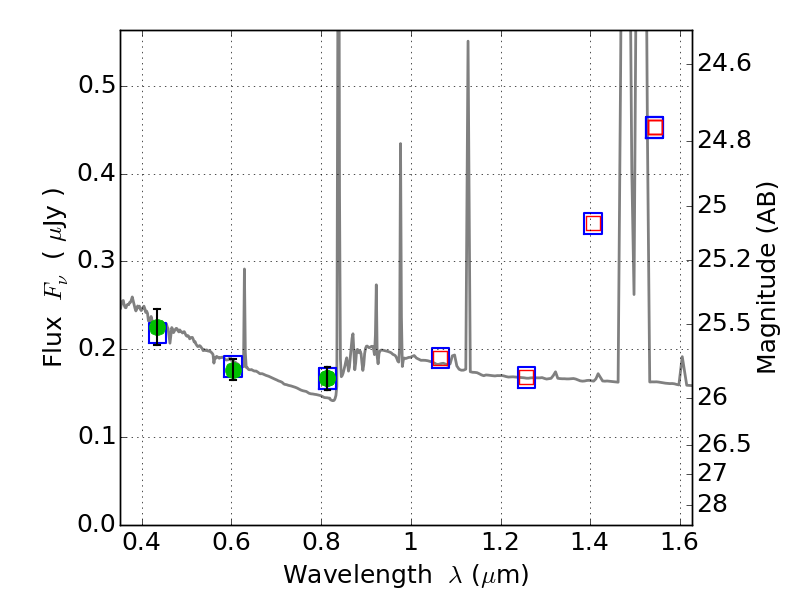
PLCKG138-10 ACS+IR detection object #1420
Color images and BPZ results
Catalog: 1420.cat
Black segments are analyzed here. Roll mouse over color images to view segments.
Best viewed in a wide browser window (1200 pixels or more). Download SED & P(z) plots to view larger versions.
In P(z) plots: Yellow lines mark the cluster redshift z = 0.702,
Object #1420 x,y = (3773, 3459) RA, Dec = (02:26:58.440, 49:01:27.12) = (36.74350, 49.02420) BPZ = 1.252 [1.088--2.486] type = 10.80 (SB11_A_0_l - SB3_B10) chisq2 = 0.05 ODDS = 0.22 z_cluster = 0.702