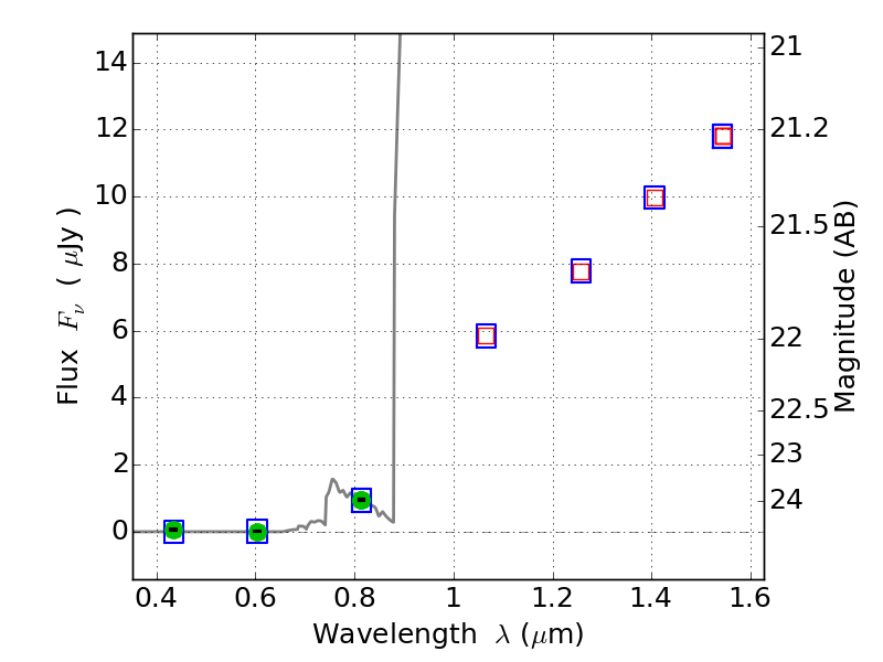
PLCKG138-10 ACS+IR detection object #1185

Color images and BPZ results
Catalog: 1185.cat
Black segments are analyzed here.   Roll mouse over color images to view segments.
Best viewed in a wide browser window (1200 pixels or more).   Download SED & P(z) plots to view larger versions.
In P(z) plots: Yellow lines mark the cluster redshift z = 0.702,  

Object #1185   x,y = (4051, 3550)   RA, Dec = (02:26:56.736, 49:01:32.52) = (36.73640, 49.02570)   BPZ = 6.232 [5.840--8.927]   type = 6.00 (Sbc_B10)   chisq2 = 0.01   ODDS = 0.41   z_cluster = 0.702