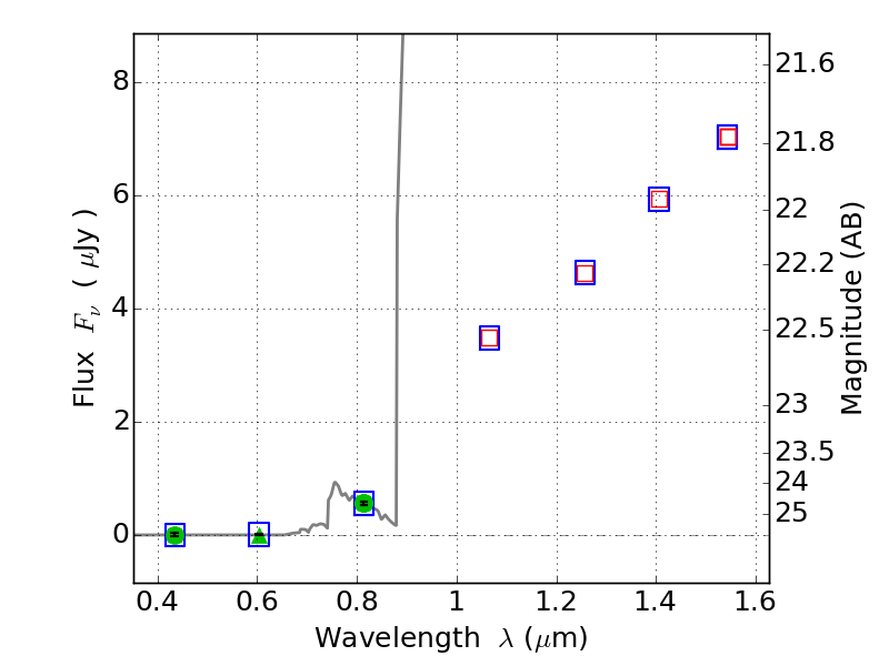
PLCKG138-10 ACS+IR detection object #1067

Color images and BPZ results
Catalog: 1067.cat
Black segments are analyzed here.   Roll mouse over color images to view segments.
Best viewed in a wide browser window (1200 pixels or more).   Download SED & P(z) plots to view larger versions.
In P(z) plots: Yellow lines mark the cluster redshift z = 0.702,  

Object #1067   x,y = (4054, 3642)   RA, Dec = (02:26:56.712, 49:01:37.92) = (36.73630, 49.02720)   BPZ = 6.234 [5.815--8.901]   type = 6.00 (Sbc_B10)   chisq2 = 0.00   ODDS = 0.38   z_cluster = 0.702