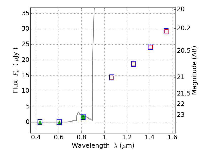
PLCKG138-10 ACS+IR detection object #1030
Color images and BPZ results
Catalog: 1030.cat
Black segments are analyzed here. Roll mouse over color images to view segments.
Best viewed in a wide browser window (1200 pixels or more). Download SED & P(z) plots to view larger versions.
In P(z) plots: Yellow lines mark the cluster redshift z = 0.702,
Object #1030 x,y = (4016, 3657) RA, Dec = (02:26:56.952, 49:01:39.00) = (36.73730, 49.02750) BPZ = 6.385 [5.994--8.626] type = 6.00 (Sbc_B10) chisq2 = 0.00 ODDS = 0.46 z_cluster = 0.702