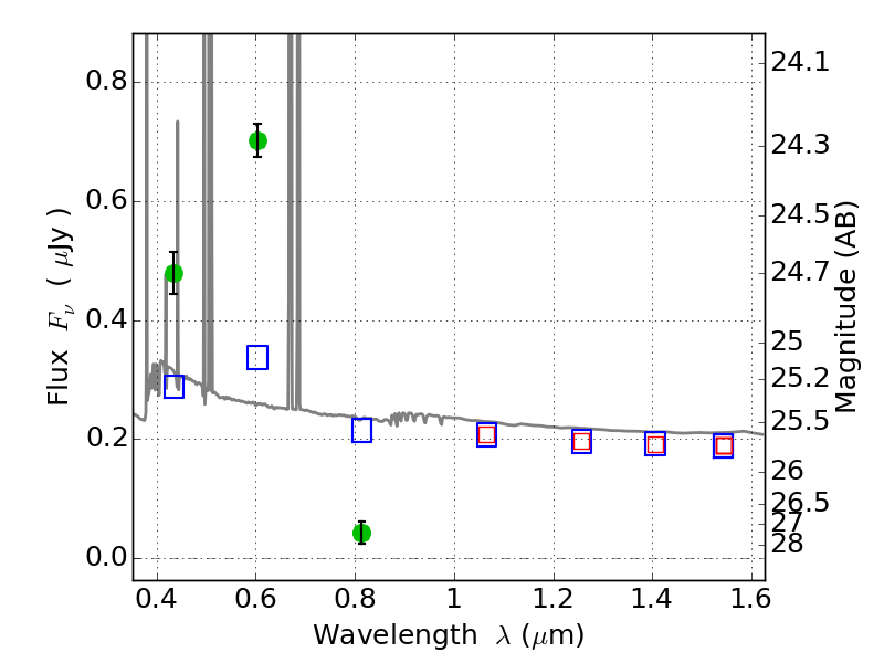
PLCKG004-19 ACS+IR detection object #889

Color images and BPZ results
Catalog: 889.cat
Black segments are analyzed here.   Roll mouse over color images to view segments.
Best viewed in a wide browser window (1200 pixels or more).   Download SED & P(z) plots to view larger versions.
In P(z) plots: Yellow lines mark the cluster redshift z = 0.540,  

Object #889   x,y = (3857, 3362)   RA, Dec = (19:16:55.968, -33:30:03.96) = (289.23320, -33.50110)   BPZ = 0.017 [0.010--0.033]   type = 11.00 (SB11_A_0_l)   chisq2 = 188.50   ODDS = 1.00   z_cluster = 0.540