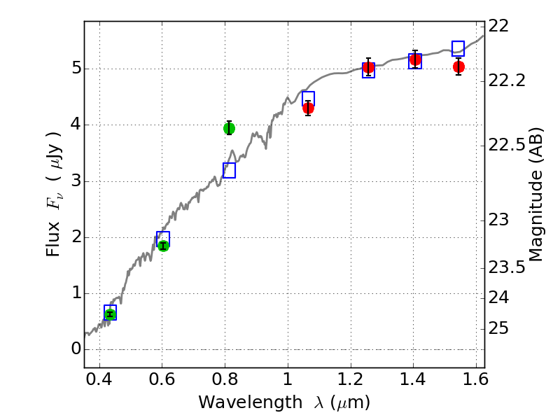
PLCKG004-19 ACS+IR detection object #884

Color images and BPZ results
Catalog: 884.cat
Black segments are analyzed here.   Roll mouse over color images to view segments.
Best viewed in a wide browser window (1200 pixels or more).   Download SED & P(z) plots to view larger versions.
In P(z) plots: Yellow lines mark the cluster redshift z = 0.540,  

Object #884   x,y = (2119, 3362)   RA, Dec = (19:17:04.296, -33:30:03.96) = (289.26790, -33.50110)   BPZ = 0.088 [0.059--0.115]   type = 4.00 (Ell4_A_0)   chisq2 = 1.52   ODDS = 1.00   z_cluster = 0.540