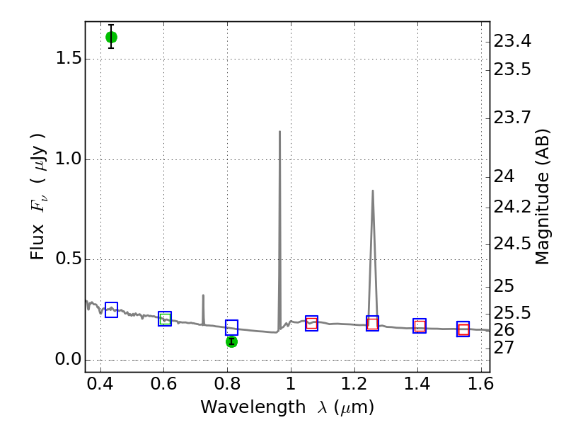
PLCKG004-19 ACS+IR detection object #8454

Color images and BPZ results
Catalog: 8454.cat
Black segments are analyzed here.   Roll mouse over color images to view segments.
Best viewed in a wide browser window (1200 pixels or more).   Download SED & P(z) plots to view larger versions.
In P(z) plots: Yellow lines mark the cluster redshift z = 0.540,  

Object #8454   x,y = (422, 3901)   RA, Dec = (19:17:12.456, -33:29:31.56) = (289.30190, -33.49210)   BPZ = 1.593 [1.466--2.051]   type = 11.00 (SB11_A_0_l)   chisq2 = 531.20   ODDS = 0.68   z_cluster = 0.540