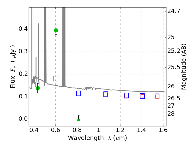
PLCKG004-19 ACS+IR detection object #8331

Color images and BPZ results
Catalog: 8331.cat
Black segments are analyzed here.   Roll mouse over color images to view segments.
Best viewed in a wide browser window (1200 pixels or more).   Download SED & P(z) plots to view larger versions.
In P(z) plots: Yellow lines mark the cluster redshift z = 0.540,  

Object #8331   x,y = (1916, 328)   RA, Dec = (19:17:05.280, -33:33:06.12) = (289.27200, -33.55170)   BPZ = 0.017 [0.010--0.036]   type = 11.00 (SB11_A_0_l)   chisq2 = 164.80   ODDS = 1.00   z_cluster = 0.540