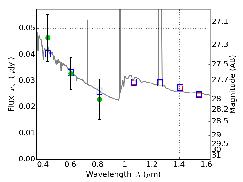
PLCKG004-19 ACS+IR detection object #8256

Color images and BPZ results
Catalog: 8256.cat
Black segments are analyzed here.   Roll mouse over color images to view segments.
Best viewed in a wide browser window (1200 pixels or more).   Download SED & P(z) plots to view larger versions.
In P(z) plots: Yellow lines mark the cluster redshift z = 0.540,  

Object #8256   x,y = (2079, 371)   RA, Dec = (19:17:04.512, -33:33:03.60) = (289.26880, -33.55100)   BPZ = 1.593 [0.960--2.708]   type = 11.00 (SB11_A_0_l)   chisq2 = 0.73   ODDS = 0.17   z_cluster = 0.540