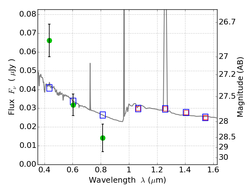
PLCKG004-19 ACS+IR detection object #8234

Color images and BPZ results
Catalog: 8234.cat
Black segments are analyzed here.   Roll mouse over color images to view segments.
Best viewed in a wide browser window (1200 pixels or more).   Download SED & P(z) plots to view larger versions.
In P(z) plots: Yellow lines mark the cluster redshift z = 0.540,  

Object #8234   x,y = (2220, 383)   RA, Dec = (19:17:03.816, -33:33:02.52) = (289.26590, -33.55070)   BPZ = 1.593 [1.248--2.426]   type = 11.00 (SB11_A_0_l)   chisq2 = 12.58   ODDS = 0.24   z_cluster = 0.540