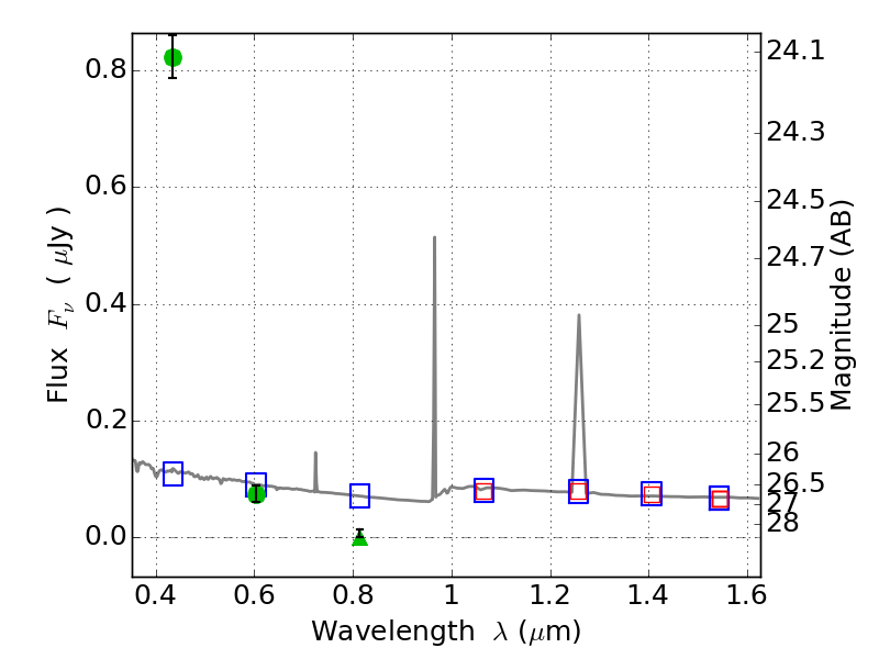
PLCKG004-19 ACS+IR detection object #8040

Color images and BPZ results
Catalog: 8040.cat
Black segments are analyzed here.   Roll mouse over color images to view segments.
Best viewed in a wide browser window (1200 pixels or more).   Download SED & P(z) plots to view larger versions.
In P(z) plots: Yellow lines mark the cluster redshift z = 0.540,  

Object #8040   x,y = (3657, 499)   RA, Dec = (19:16:56.928, -33:32:55.68) = (289.23720, -33.54880)   BPZ = 1.593 [1.403--2.143]   type = 11.00 (SB11_A_0_l)   chisq2 = 404.60   ODDS = 0.47   z_cluster = 0.540