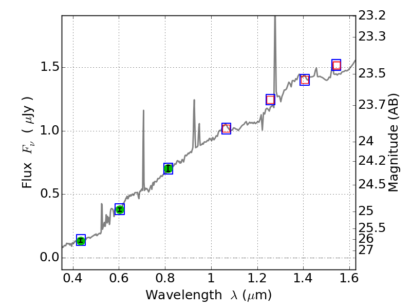
PLCKG004-19 ACS+IR detection object #7830

Color images and BPZ results
Catalog: 7830.cat
Black segments are analyzed here.   Roll mouse over color images to view segments.
Best viewed in a wide browser window (1200 pixels or more).   Download SED & P(z) plots to view larger versions.
In P(z) plots: Yellow lines mark the cluster redshift z = 0.540,  

Object #7830   x,y = (389, 598)   RA, Dec = (19:17:12.624, -33:32:49.92) = (289.30260, -33.54720)   BPZ = 0.408 [0.136--0.533]   type = 6.70 (Scd_B10 - Sbc_B10)   chisq2 = 0.00   ODDS = 0.38   z_cluster = 0.540