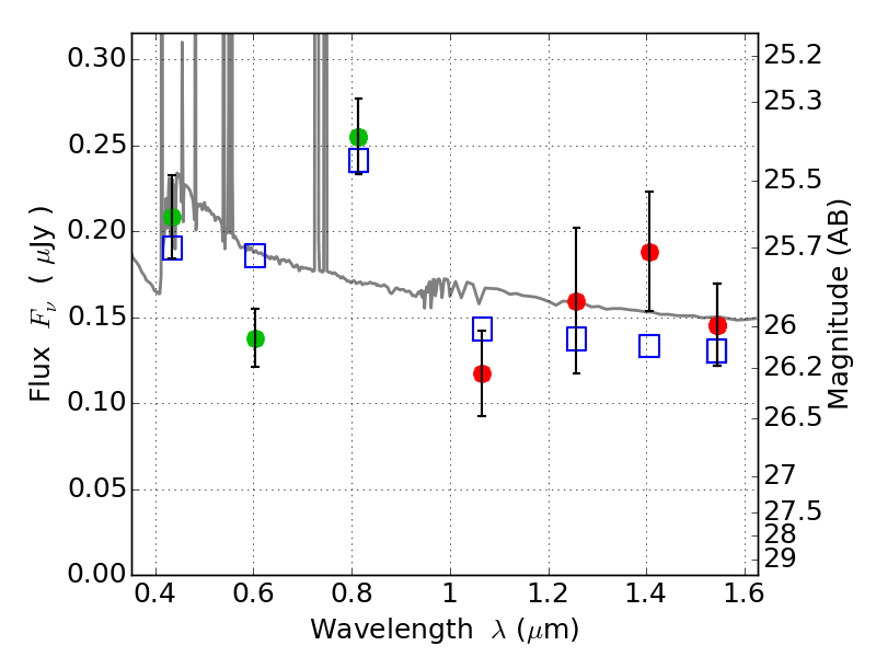
PLCKG004-19 ACS+IR detection object #6154

Color images and BPZ results
Catalog: 6154.cat
Black segments are analyzed here.   Roll mouse over color images to view segments.
Best viewed in a wide browser window (1200 pixels or more).   Download SED & P(z) plots to view larger versions.
In P(z) plots: Yellow lines mark the cluster redshift z = 0.540,  

Object #6154   x,y = (2038, 1291)   RA, Dec = (19:17:04.704, -33:32:08.16) = (289.26960, -33.53560)   BPZ = 0.110 [0.086--0.835]   type = 11.00 (SB11_A_0_l)   chisq2 = 1.30   ODDS = 0.63   z_cluster = 0.540