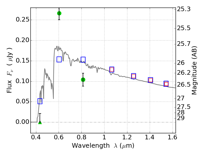
PLCKG004-19 ACS+IR detection object #6127

Color images and BPZ results
Catalog: 6127.cat
Black segments are analyzed here.   Roll mouse over color images to view segments.
Best viewed in a wide browser window (1200 pixels or more).   Download SED & P(z) plots to view larger versions.
In P(z) plots: Yellow lines mark the cluster redshift z = 0.540,  

Object #6127   x,y = (3747, 1304)   RA, Dec = (19:16:56.496, -33:32:07.44) = (289.23540, -33.53540)   BPZ = 3.559 [3.209--3.680]   type = 11.00 (SB11_A_0_l)   chisq2 = 53.07   ODDS = 0.85   z_cluster = 0.540