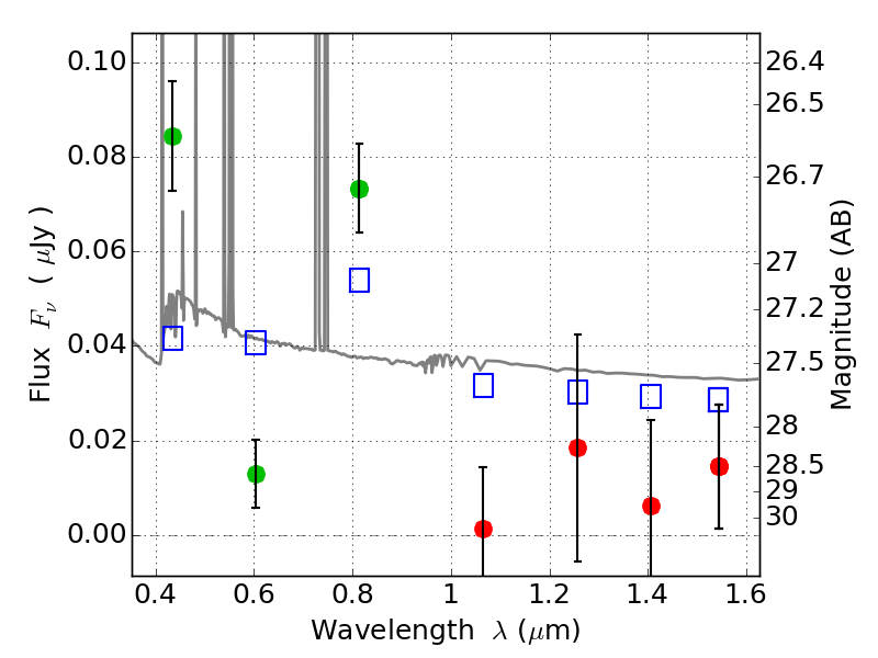
PLCKG004-19 ACS+IR detection object #5997

Color images and BPZ results
Catalog: 5997.cat
Black segments are analyzed here.   Roll mouse over color images to view segments.
Best viewed in a wide browser window (1200 pixels or more).   Download SED & P(z) plots to view larger versions.
In P(z) plots: Yellow lines mark the cluster redshift z = 0.540,  

Object #5997   x,y = (2245, 1355)   RA, Dec = (19:17:03.696, -33:32:04.56) = (289.26540, -33.53460)   BPZ = 0.112 [0.086--0.215]   type = 11.00 (SB11_A_0_l)   chisq2 = 5.99   ODDS = 0.82   z_cluster = 0.540