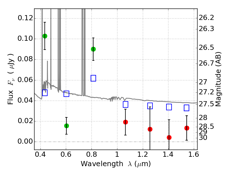
PLCKG004-19 ACS+IR detection object #5919

Color images and BPZ results
Catalog: 5919.cat
Black segments are analyzed here.   Roll mouse over color images to view segments.
Best viewed in a wide browser window (1200 pixels or more).   Download SED & P(z) plots to view larger versions.
In P(z) plots: Yellow lines mark the cluster redshift z = 0.540,  

Object #5919   x,y = (2041, 1383)   RA, Dec = (19:17:04.680, -33:32:02.76) = (289.26950, -33.53410)   BPZ = 0.112 [0.086--0.195]   type = 11.00 (SB11_A_0_l)   chisq2 = 7.37   ODDS = 0.87   z_cluster = 0.540