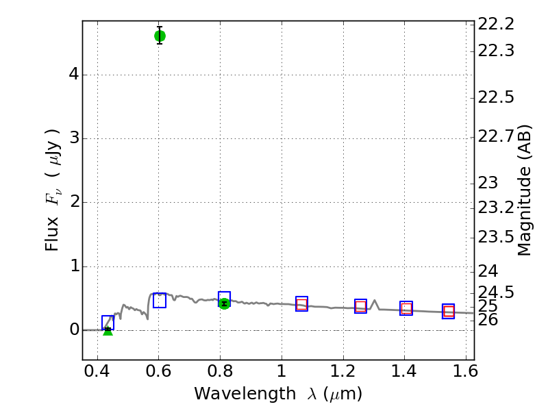
PLCKG004-19 ACS+IR detection object #5872

Color images and BPZ results
Catalog: 5872.cat
Black segments are analyzed here.   Roll mouse over color images to view segments.
Best viewed in a wide browser window (1200 pixels or more).   Download SED & P(z) plots to view larger versions.
In P(z) plots: Yellow lines mark the cluster redshift z = 0.540,  

Object #5872   x,y = (241, 1411)   RA, Dec = (19:17:13.320, -33:32:00.96) = (289.30550, -33.53360)   BPZ = 3.653 [3.579--3.763]   type = 11.00 (SB11_A_0_l)   chisq2 = 890.50   ODDS = 1.00   z_cluster = 0.540