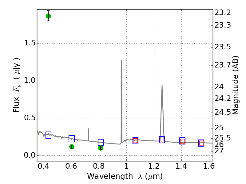
PLCKG004-19 ACS+IR detection object #5648

Color images and BPZ results
Catalog: 5648.cat
Black segments are analyzed here.   Roll mouse over color images to view segments.
Best viewed in a wide browser window (1200 pixels or more).   Download SED & P(z) plots to view larger versions.
In P(z) plots: Yellow lines mark the cluster redshift z = 0.540,  

Object #5648   x,y = (267, 1497)   RA, Dec = (19:17:13.200, -33:31:55.92) = (289.30500, -33.53220)   BPZ = 1.591 [1.341--2.130]   type = 11.00 (SB11_A_0_l)   chisq2 = 532.50   ODDS = 0.48   z_cluster = 0.540