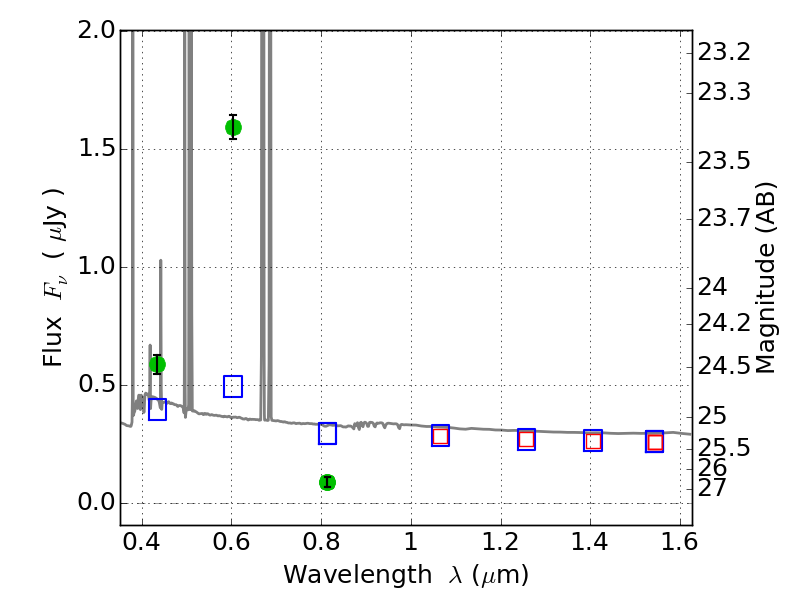
PLCKG004-19 ACS+IR detection object #5619

Color images and BPZ results
Catalog: 5619.cat
Black segments are analyzed here.   Roll mouse over color images to view segments.
Best viewed in a wide browser window (1200 pixels or more).   Download SED & P(z) plots to view larger versions.
In P(z) plots: Yellow lines mark the cluster redshift z = 0.540,  

Object #5619   x,y = (3756, 1509)   RA, Dec = (19:16:56.448, -33:31:55.20) = (289.23520, -33.53200)   BPZ = 0.016 [0.010--0.032]   type = 11.00 (SB11_A_0_l)   chisq2 = 390.10   ODDS = 1.00   z_cluster = 0.540