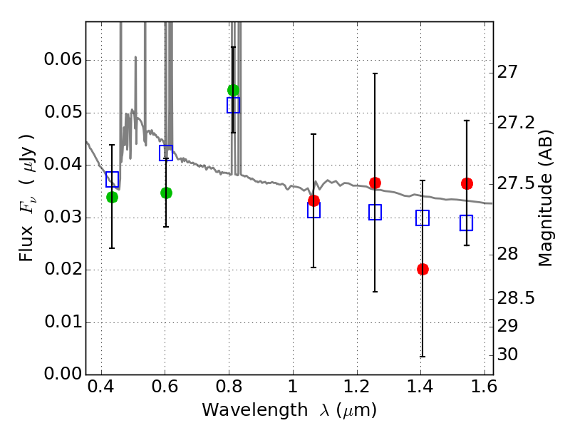
PLCKG004-19 ACS+IR detection object #5500

Color images and BPZ results
Catalog: 5500.cat
Black segments are analyzed here.   Roll mouse over color images to view segments.
Best viewed in a wide browser window (1200 pixels or more).   Download SED & P(z) plots to view larger versions.
In P(z) plots: Yellow lines mark the cluster redshift z = 0.540,  

Object #5500   x,y = (1670, 1560)   RA, Dec = (19:17:06.456, -33:31:51.96) = (289.27690, -33.53110)   BPZ = 0.236 [0.102--3.372]   type = 11.00 (SB11_A_0_l)   chisq2 = 0.41   ODDS = 0.20   z_cluster = 0.540