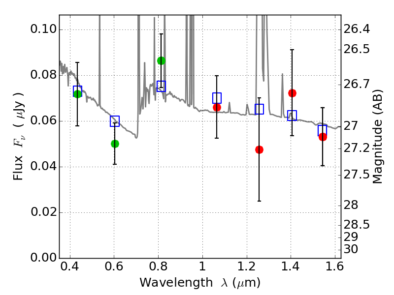
PLCKG004-19 ACS+IR detection object #5496

Color images and BPZ results
Catalog: 5496.cat
Black segments are analyzed here.   Roll mouse over color images to view segments.
Best viewed in a wide browser window (1200 pixels or more).   Download SED & P(z) plots to view larger versions.
In P(z) plots: Yellow lines mark the cluster redshift z = 0.540,  

Object #5496   x,y = (2020, 1551)   RA, Dec = (19:17:04.776, -33:31:52.68) = (289.26990, -33.53130)   BPZ = 0.906 [0.120--1.039]   type = 10.70 (SB11_A_0_l - SB3_B10)   chisq2 = 0.50   ODDS = 0.31   z_cluster = 0.540