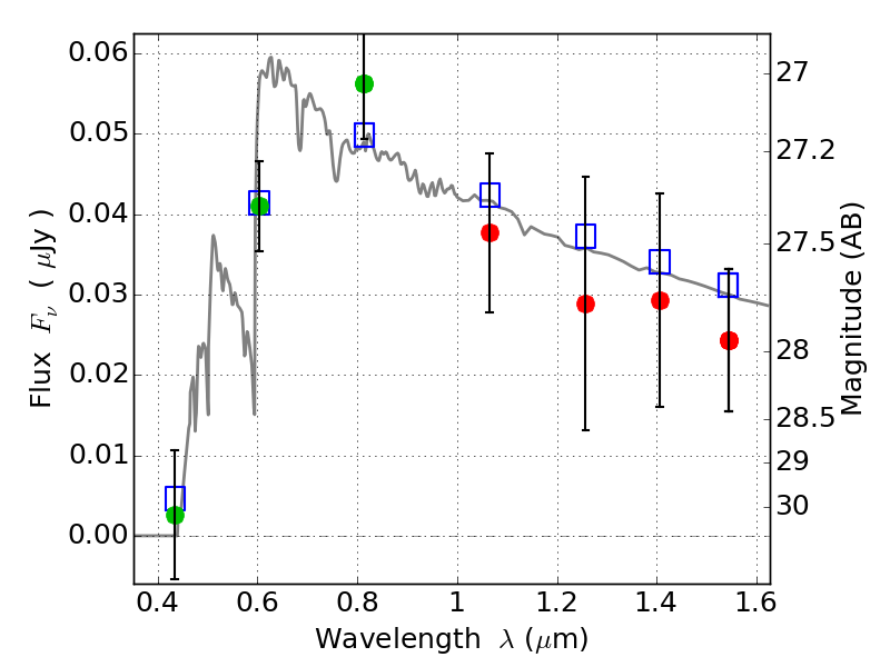
PLCKG004-19 ACS+IR detection object #5478

Color images and BPZ results
Catalog: 5478.cat
Black segments are analyzed here.   Roll mouse over color images to view segments.
Best viewed in a wide browser window (1200 pixels or more).   Download SED & P(z) plots to view larger versions.
In P(z) plots: Yellow lines mark the cluster redshift z = 0.540,  

Object #5478   x,y = (2635, 1607)   RA, Dec = (19:17:01.824, -33:31:49.44) = (289.25760, -33.53040)   BPZ = 3.895 [3.532--4.195]   type = 11.00 (SB11_A_0_l)   chisq2 = 0.52   ODDS = 0.74   z_cluster = 0.540