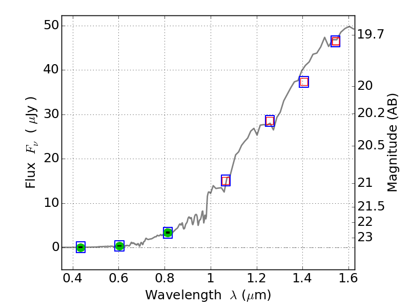
PLCKG004-19 ACS+IR detection object #5304

Color images and BPZ results
Catalog: 5304.cat
Black segments are analyzed here.   Roll mouse over color images to view segments.
Best viewed in a wide browser window (1200 pixels or more).   Download SED & P(z) plots to view larger versions.
In P(z) plots: Yellow lines mark the cluster redshift z = 0.540,  

Object #5304   x,y = (3764, 1734)   RA, Dec = (19:16:56.424, -33:31:41.52) = (289.23510, -33.52820)   BPZ = 1.471 [1.411--5.367]   type = 1.20 (Ell7_A_0 - Ell6_A_0)   chisq2 = 0.00   ODDS = 0.65   z_cluster = 0.540