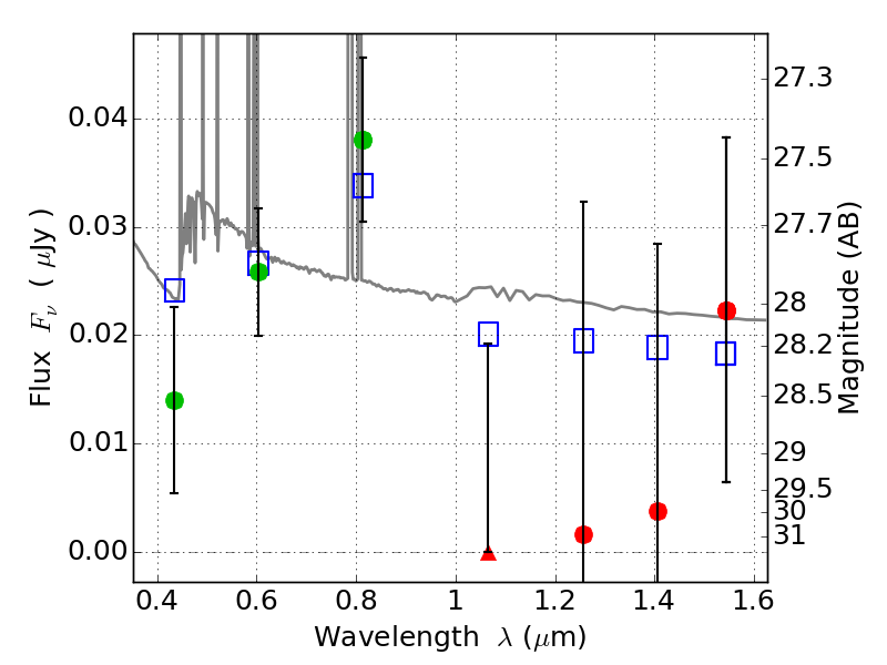
PLCKG004-19 ACS+IR detection object #5296

Color images and BPZ results
Catalog: 5296.cat
Black segments are analyzed here.   Roll mouse over color images to view segments.
Best viewed in a wide browser window (1200 pixels or more).   Download SED & P(z) plots to view larger versions.
In P(z) plots: Yellow lines mark the cluster redshift z = 0.540,  

Object #5296   x,y = (3492, 1640)   RA, Dec = (19:16:57.720, -33:31:47.28) = (289.24050, -33.52980)   BPZ = 0.205 [0.108--4.137]   type = 11.00 (SB11_A_0_l)   chisq2 = 0.55   ODDS = 0.14   z_cluster = 0.540