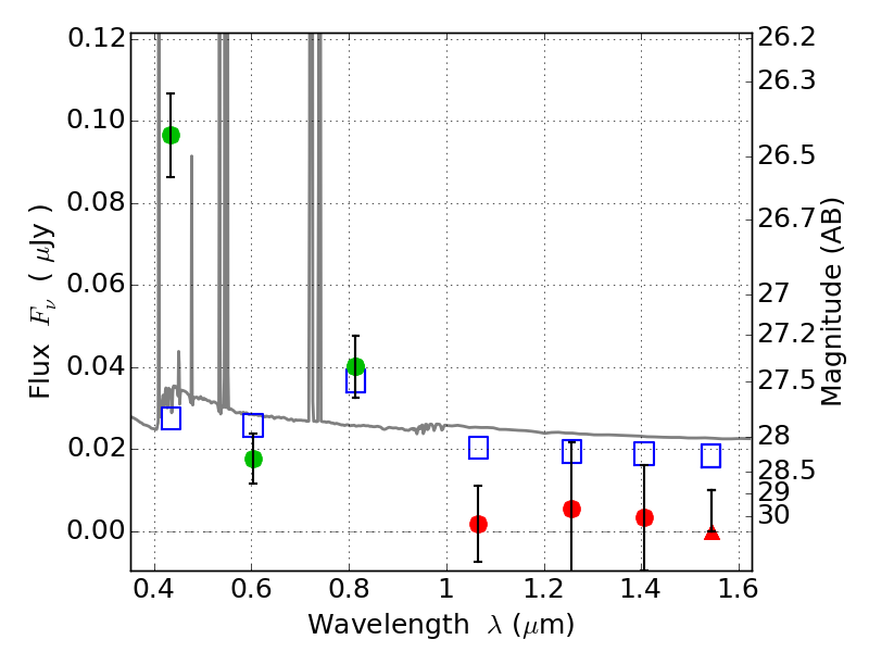
PLCKG004-19 ACS+IR detection object #5216

Color images and BPZ results
Catalog: 5216.cat
Black segments are analyzed here.   Roll mouse over color images to view segments.
Best viewed in a wide browser window (1200 pixels or more).   Download SED & P(z) plots to view larger versions.
In P(z) plots: Yellow lines mark the cluster redshift z = 0.540,  

Object #5216   x,y = (1912, 1664)   RA, Dec = (19:17:05.304, -33:31:45.84) = (289.27210, -33.52940)   BPZ = 0.101 [0.075--2.337]   type = 11.00 (SB11_A_0_l)   chisq2 = 8.66   ODDS = 0.60   z_cluster = 0.540