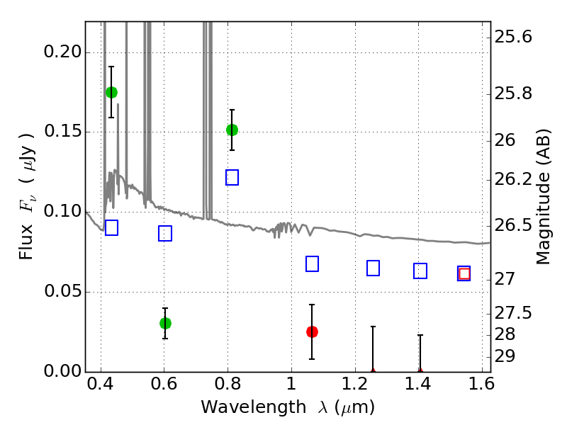
PLCKG004-19 ACS+IR detection object #5053

Color images and BPZ results
Catalog: 5053.cat
Black segments are analyzed here.   Roll mouse over color images to view segments.
Best viewed in a wide browser window (1200 pixels or more).   Download SED & P(z) plots to view larger versions.
In P(z) plots: Yellow lines mark the cluster redshift z = 0.540,  

Object #5053   x,y = (1414, 1732)   RA, Dec = (19:17:07.680, -33:31:41.88) = (289.28200, -33.52830)   BPZ = 0.109 [0.087--0.157]   type = 11.00 (SB11_A_0_l)   chisq2 = 16.69   ODDS = 0.97   z_cluster = 0.540