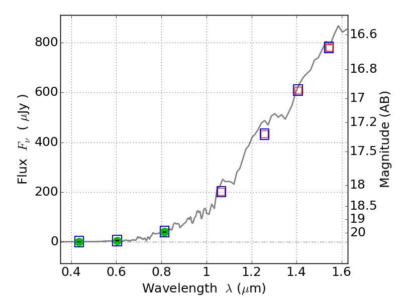
PLCKG004-19 ACS+IR detection object #5009

Color images and BPZ results
Catalog: 5009.cat
Black segments are analyzed here.   Roll mouse over color images to view segments.
Best viewed in a wide browser window (1200 pixels or more).   Download SED & P(z) plots to view larger versions.
In P(z) plots: Yellow lines mark the cluster redshift z = 0.540,  

Object #5009   x,y = (3685, 1765)   RA, Dec = (19:16:56.784, -33:31:39.72) = (289.23660, -33.52770)   BPZ = 1.618 [1.273--1.867]   type = 1.00 (Ell7_A_0)   chisq2 = 0.00   ODDS = 0.55   z_cluster = 0.540