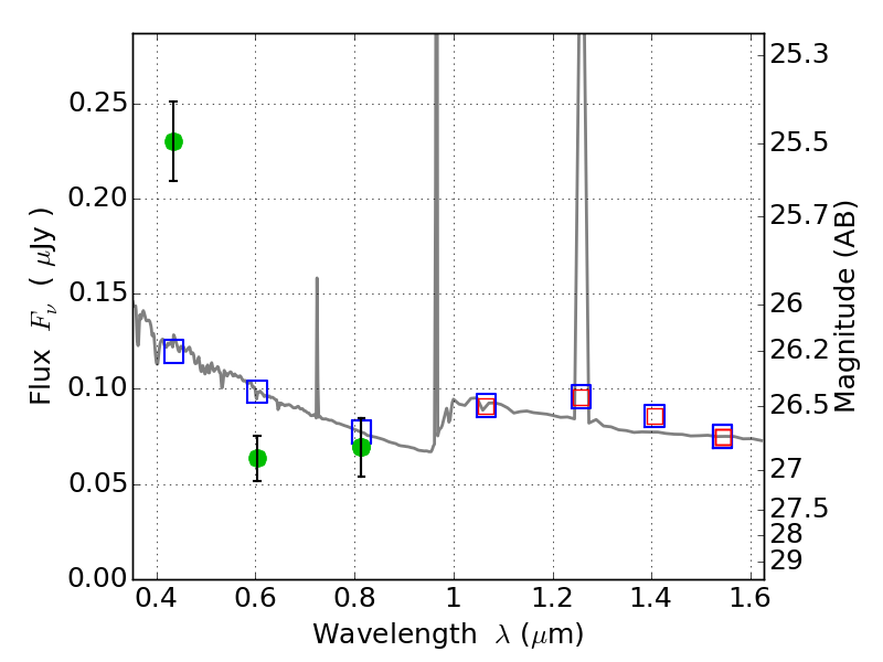
PLCKG004-19 ACS+IR detection object #4810

Color images and BPZ results
Catalog: 4810.cat
Black segments are analyzed here.   Roll mouse over color images to view segments.
Best viewed in a wide browser window (1200 pixels or more).   Download SED & P(z) plots to view larger versions.
In P(z) plots: Yellow lines mark the cluster redshift z = 0.540,  

Object #4810   x,y = (3729, 1835)   RA, Dec = (19:16:56.592, -33:31:35.40) = (289.23580, -33.52650)   BPZ = 1.587 [1.119--2.259]   type = 11.00 (SB11_A_0_l)   chisq2 = 30.57   ODDS = 0.24   z_cluster = 0.540