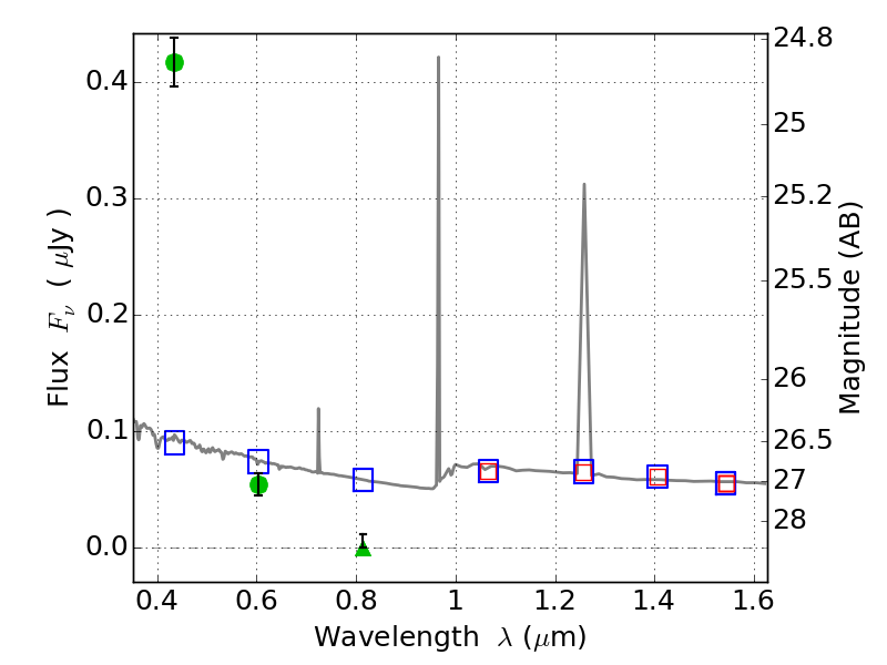
PLCKG004-19 ACS+IR detection object #4763

Color images and BPZ results
Catalog: 4763.cat
Black segments are analyzed here.   Roll mouse over color images to view segments.
Best viewed in a wide browser window (1200 pixels or more).   Download SED & P(z) plots to view larger versions.
In P(z) plots: Yellow lines mark the cluster redshift z = 0.540,  

Object #4763   x,y = (3709, 1861)   RA, Dec = (19:16:56.688, -33:31:33.96) = (289.23620, -33.52610)   BPZ = 1.593 [1.401--2.135]   type = 11.00 (SB11_A_0_l)   chisq2 = 267.20   ODDS = 0.48   z_cluster = 0.540