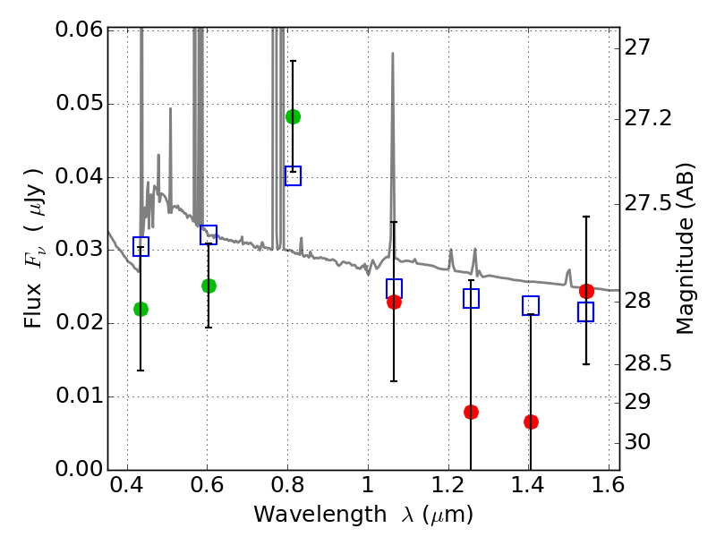
PLCKG004-19 ACS+IR detection object #4714

Color images and BPZ results
Catalog: 4714.cat
Black segments are analyzed here.   Roll mouse over color images to view segments.
Best viewed in a wide browser window (1200 pixels or more).   Download SED & P(z) plots to view larger versions.
In P(z) plots: Yellow lines mark the cluster redshift z = 0.540,  

Object #4714   x,y = (3360, 1881)   RA, Dec = (19:16:58.368, -33:31:32.88) = (289.24320, -33.52580)   BPZ = 0.170 [0.094--3.730]   type = 10.90 (SB11_A_0_l - SB3_B10)   chisq2 = 0.90   ODDS = 0.42   z_cluster = 0.540