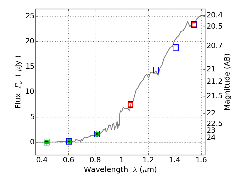
PLCKG004-19 ACS+IR detection object #4693

Color images and BPZ results
Catalog: 4693.cat
Black segments are analyzed here.   Roll mouse over color images to view segments.
Best viewed in a wide browser window (1200 pixels or more).   Download SED & P(z) plots to view larger versions.
In P(z) plots: Yellow lines mark the cluster redshift z = 0.540,  

Object #4693   x,y = (235, 1889)   RA, Dec = (19:17:13.344, -33:31:32.16) = (289.30560, -33.52560)   BPZ = 1.466 [1.340--5.237]   type = 1.00 (Ell7_A_0)   chisq2 = 0.00   ODDS = 0.59   z_cluster = 0.540