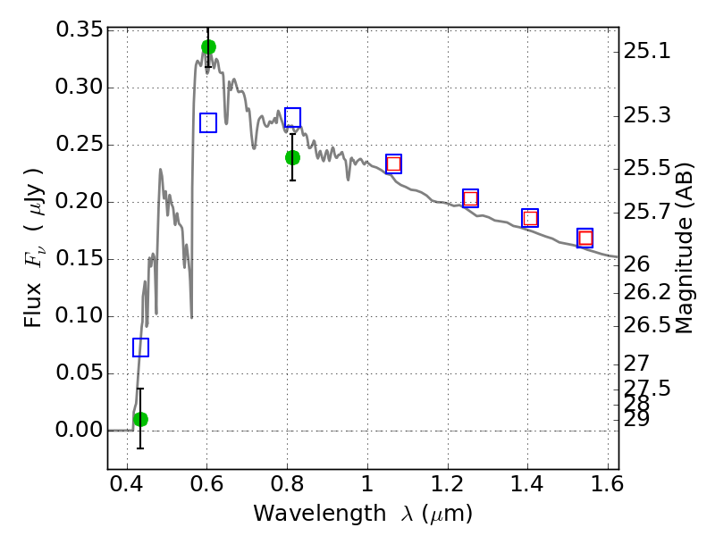
PLCKG004-19 ACS+IR detection object #4362

Color images and BPZ results
Catalog: 4362.cat
Black segments are analyzed here.   Roll mouse over color images to view segments.
Best viewed in a wide browser window (1200 pixels or more).   Download SED & P(z) plots to view larger versions.
In P(z) plots: Yellow lines mark the cluster redshift z = 0.540,  

Object #4362   x,y = (264, 2020)   RA, Dec = (19:17:13.200, -33:31:24.60) = (289.30500, -33.52350)   BPZ = 3.628 [3.478--3.755]   type = 11.00 (SB11_A_0_l)   chisq2 = 13.80   ODDS = 0.99   z_cluster = 0.540