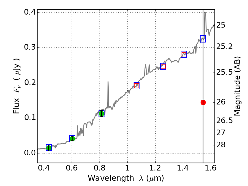
PLCKG004-19 ACS+IR detection object #4249

Color images and BPZ results
Catalog: 4249.cat
Black segments are analyzed here.   Roll mouse over color images to view segments.
Best viewed in a wide browser window (1200 pixels or more).   Download SED & P(z) plots to view larger versions.
In P(z) plots: Yellow lines mark the cluster redshift z = 0.540,  

Object #4249   x,y = (682, 2055)   RA, Dec = (19:17:11.208, -33:31:22.44) = (289.29670, -33.52290)   BPZ = 0.718 [0.422--4.122]   type = 6.30 (Sbc_B10 - Scd_B10)   chisq2 = 0.00   ODDS = 0.19   z_cluster = 0.540