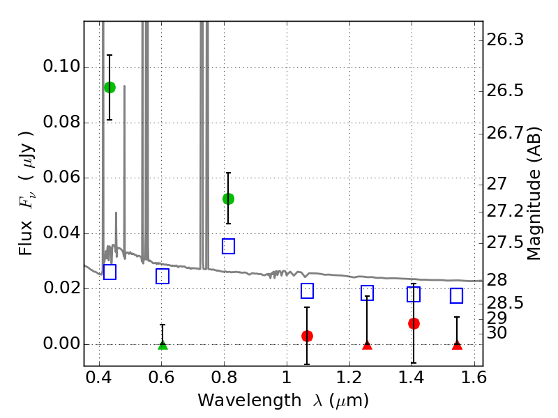
PLCKG004-19 ACS+IR detection object #3876

Color images and BPZ results
Catalog: 3876.cat
Black segments are analyzed here.   Roll mouse over color images to view segments.
Best viewed in a wide browser window (1200 pixels or more).   Download SED & P(z) plots to view larger versions.
In P(z) plots: Yellow lines mark the cluster redshift z = 0.540,  

Object #3876   x,y = (2081, 2230)   RA, Dec = (19:17:04.488, -33:31:12.00) = (289.26870, -33.52000)   BPZ = 0.111 [0.082--0.876]   type = 11.00 (SB11_A_0_l)   chisq2 = 8.93   ODDS = 0.73   z_cluster = 0.540