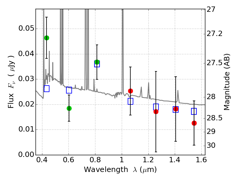
PLCKG004-19 ACS+IR detection object #3654

Color images and BPZ results
Catalog: 3654.cat
Black segments are analyzed here.   Roll mouse over color images to view segments.
Best viewed in a wide browser window (1200 pixels or more).   Download SED & P(z) plots to view larger versions.
In P(z) plots: Yellow lines mark the cluster redshift z = 0.540,  

Object #3654   x,y = (2746, 2414)   RA, Dec = (19:17:01.296, -33:31:00.84) = (289.25540, -33.51690)   BPZ = 0.106 [0.085--1.869]   type = 10.80 (SB11_A_0_l - SB3_B10)   chisq2 = 1.18   ODDS = 0.26   z_cluster = 0.540