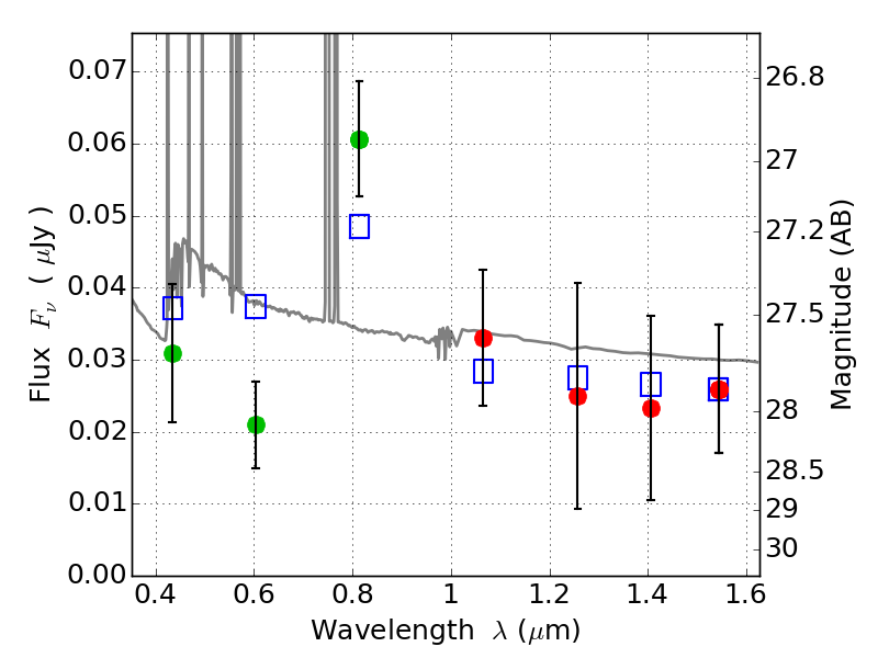
PLCKG004-19 ACS+IR detection object #3554

Color images and BPZ results
Catalog: 3554.cat
Black segments are analyzed here.   Roll mouse over color images to view segments.
Best viewed in a wide browser window (1200 pixels or more).   Download SED & P(z) plots to view larger versions.
In P(z) plots: Yellow lines mark the cluster redshift z = 0.540,  

Object #3554   x,y = (2047, 2354)   RA, Dec = (19:17:04.656, -33:31:04.44) = (289.26940, -33.51790)   BPZ = 0.136 [0.093--4.189]   type = 11.00 (SB11_A_0_l)   chisq2 = 1.49   ODDS = 0.57   z_cluster = 0.540