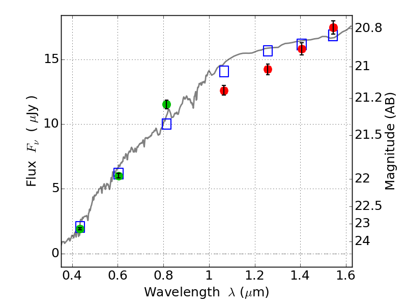
PLCKG004-19 ACS+IR detection object #3503

Color images and BPZ results
Catalog: 3503.cat
Black segments are analyzed here.   Roll mouse over color images to view segments.
Best viewed in a wide browser window (1200 pixels or more).   Download SED & P(z) plots to view larger versions.
In P(z) plots: Yellow lines mark the cluster redshift z = 0.540,  

Object #3503   x,y = (1991, 2359)   RA, Dec = (19:17:04.920, -33:31:04.08) = (289.27050, -33.51780)   BPZ = 0.091 [0.057--0.120]   type = 4.00 (Ell4_A_0)   chisq2 = 1.01   ODDS = 0.98   z_cluster = 0.540