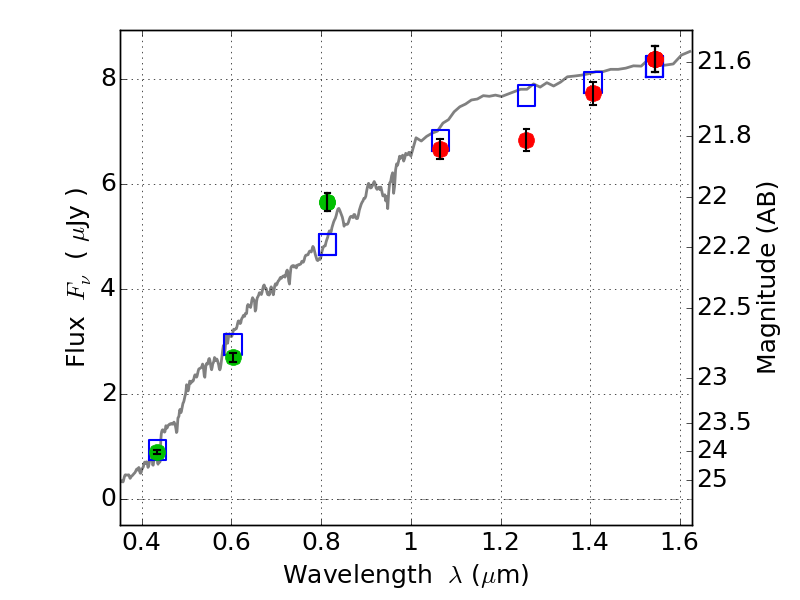
PLCKG004-19 ACS+IR detection object #3352

Color images and BPZ results
Catalog: 3352.cat
Black segments are analyzed here.   Roll mouse over color images to view segments.
Best viewed in a wide browser window (1200 pixels or more).   Download SED & P(z) plots to view larger versions.
In P(z) plots: Yellow lines mark the cluster redshift z = 0.540,  

Object #3352   x,y = (2339, 2388)   RA, Dec = (19:17:03.264, -33:31:02.28) = (289.26360, -33.51730)   BPZ = 0.108 [0.033--0.133]   type = 4.00 (Ell4_A_0)   chisq2 = 0.96   ODDS = 0.80   z_cluster = 0.540