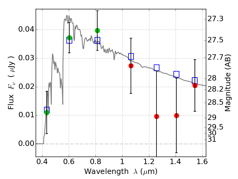
PLCKG004-19 ACS+IR detection object #3144

Color images and BPZ results
Catalog: 3144.cat
Black segments are analyzed here.   Roll mouse over color images to view segments.
Best viewed in a wide browser window (1200 pixels or more).   Download SED & P(z) plots to view larger versions.
In P(z) plots: Yellow lines mark the cluster redshift z = 0.540,  

Object #3144   x,y = (1030, 2503)   RA, Dec = (19:17:09.528, -33:30:55.44) = (289.28970, -33.51540)   BPZ = 3.569 [0.154--3.918]   type = 11.00 (SB11_A_0_l)   chisq2 = 0.43   ODDS = 0.49   z_cluster = 0.540