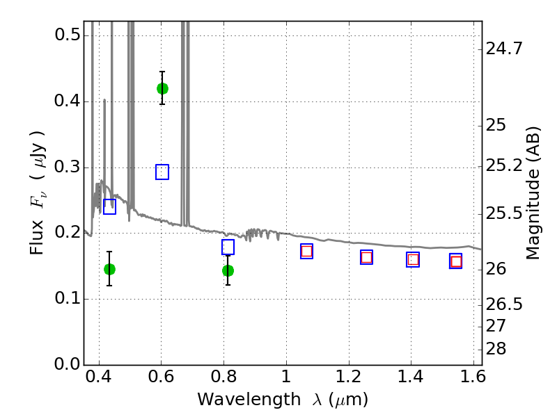
PLCKG004-19 ACS+IR detection object #3063

Color images and BPZ results
Catalog: 3063.cat
Black segments are analyzed here.   Roll mouse over color images to view segments.
Best viewed in a wide browser window (1200 pixels or more).   Download SED & P(z) plots to view larger versions.
In P(z) plots: Yellow lines mark the cluster redshift z = 0.540,  

Object #3063   x,y = (3731, 2518)   RA, Dec = (19:16:56.568, -33:30:54.72) = (289.23570, -33.51520)   BPZ = 0.020 [0.010--0.049]   type = 11.00 (SB11_A_0_l)   chisq2 = 27.66   ODDS = 1.00   z_cluster = 0.540