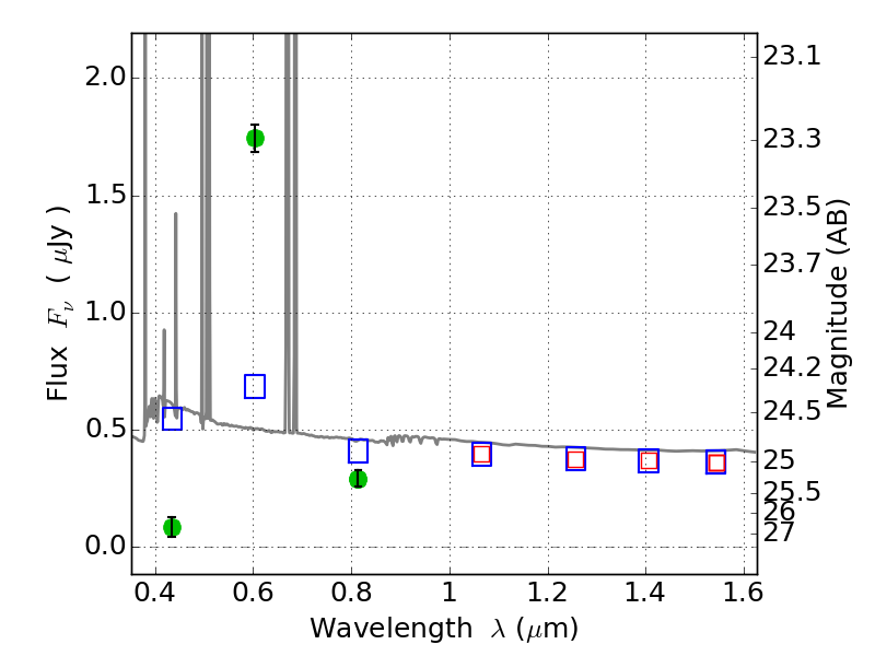
PLCKG004-19 ACS+IR detection object #2843

Color images and BPZ results
Catalog: 2843.cat
Black segments are analyzed here.   Roll mouse over color images to view segments.
Best viewed in a wide browser window (1200 pixels or more).   Download SED & P(z) plots to view larger versions.
In P(z) plots: Yellow lines mark the cluster redshift z = 0.540,  

Object #2843   x,y = (271, 2582)   RA, Dec = (19:17:13.176, -33:30:50.76) = (289.30490, -33.51410)   BPZ = 0.016 [0.010--0.032]   type = 11.00 (SB11_A_0_l)   chisq2 = 267.90   ODDS = 1.00   z_cluster = 0.540