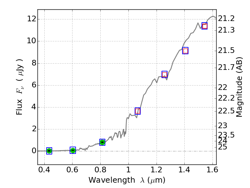
PLCKG004-19 ACS+IR detection object #2834

Color images and BPZ results
Catalog: 2834.cat
Black segments are analyzed here.   Roll mouse over color images to view segments.
Best viewed in a wide browser window (1200 pixels or more).   Download SED & P(z) plots to view larger versions.
In P(z) plots: Yellow lines mark the cluster redshift z = 0.540,  

Object #2834   x,y = (272, 2511)   RA, Dec = (19:17:13.176, -33:30:55.08) = (289.30490, -33.51530)   BPZ = 1.467 [1.283--5.693]   type = 1.00 (Ell7_A_0)   chisq2 = 0.00   ODDS = 0.19   z_cluster = 0.540