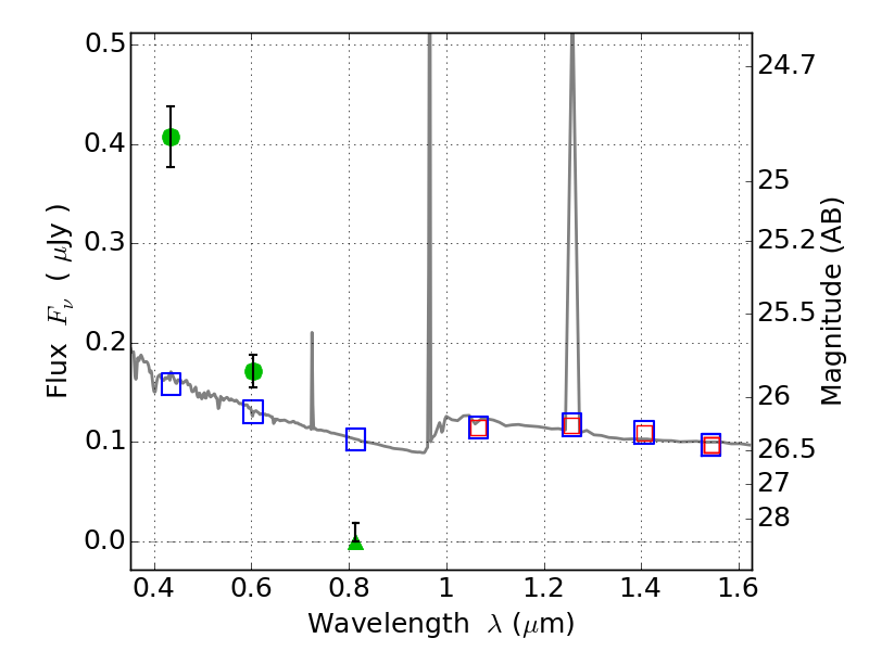
PLCKG004-19 ACS+IR detection object #2306

Color images and BPZ results
Catalog: 2306.cat
Black segments are analyzed here.   Roll mouse over color images to view segments.
Best viewed in a wide browser window (1200 pixels or more).   Download SED & P(z) plots to view larger versions.
In P(z) plots: Yellow lines mark the cluster redshift z = 0.540,  

Object #2306   x,y = (305, 2821)   RA, Dec = (19:17:13.008, -33:30:36.36) = (289.30420, -33.51010)   BPZ = 1.594 [1.435--2.132]   type = 11.00 (SB11_A_0_l)   chisq2 = 112.70   ODDS = 0.48   z_cluster = 0.540