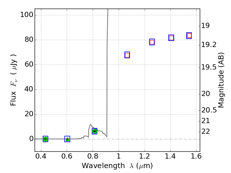
PLCKG004-19 ACS+IR detection object #2127

Color images and BPZ results
Catalog: 2127.cat
Black segments are analyzed here.   Roll mouse over color images to view segments.
Best viewed in a wide browser window (1200 pixels or more).   Download SED & P(z) plots to view larger versions.
In P(z) plots: Yellow lines mark the cluster redshift z = 0.540,  

Object #2127   x,y = (315, 2877)   RA, Dec = (19:17:12.960, -33:30:33.12) = (289.30400, -33.50920)   BPZ = 6.489 [6.276--8.086]   type = 9.00 (SB2_B10)   chisq2 = 0.00   ODDS = 0.58   z_cluster = 0.540